Bernard Drouère (avatar)

Bernard Drouère

Expert en réseau électrique et en traitement du signal à la retraite

Abonné·e de Mediapart

177 Billets

0 Édition

Billet de blog 10 mars 2019

Bernard Drouère (avatar)

Bernard Drouère

Expert en réseau électrique et en traitement du signal à la retraite

Abonné·e de Mediapart

Le photovoltaïque, l’investissement reste t-il rentable ?

La programmation pluriannuelle de l’énergie (PPE) paru le 25 Janvier 2019 mise sur l’éolien et le photovoltaïque. La comparaison des différents tarifs de rachat des Energies Renouvelables et un exemple de calcul d’amortissement d’une petite installation photovoltaïque, vous permettront de juger de la pertinence du choix du photovoltaïque.

Bernard Drouère (avatar)

Bernard Drouère

Expert en réseau électrique et en traitement du signal à la retraite

Abonné·e de Mediapart

Ce blog est personnel, la rédaction n’est pas à l’origine de ses contenus.

Tarif de rachat de l’électricité issue des Energies renouvelables

En France, le rachat d’électricité ou de gaz produits à partir d’énergies renouvelables par les particuliers et petits professionnels est encadré par deux mécanismes :

• l'obligation d'achat (OA) pour les installations de puissance limitée ;

• le complément de rémunération (CR) pour les installations plus puissantes, en dessous de certains seuils.

Pour chacune des filières d’énergie renouvelable, le gouvernement a promulgué, sous la plume de Ségolène Royale, un arrêté qui fixe les tarifs de rachat et les puissances d’installations :

Illustration 1

Pour les grosses installations, le prix de rachat d’électricité ou de gaz est établi par une procédure d’appel d’offre, et ces dernières doivent participer à maintenir la stabilité du réseau de distribution HTA ou de transport HTB en respectant les spécifications du « grid code » définis par l’arrêté du 23 Avril 2008, à savoir :

  • aider à maintenir la fréquence du réseau, en maintenant la puissance active P lors d’une baisse de la fréquence, ou en réduisant la puissance active P lors d’une augmentation de la fréquence,
  • être capable de fournir ou d’absorber de la puissance réactive Q à hauteur de 30% de la puissance active max de l’installation, pour aider à maintenir la tension au point de raccordement (diagramme [U,Q]),
  • etc …

Pour les filières Eolien, Hydraulique et Biogaz, le générateur (ou machine synchrone) a la capacité par construction de fournir de la puissance réactive Q. Par contre pour la filière photovoltaïque, il faut installer des bancs de condensateurs et un réacteur à shunt variable pour fournir ou absorber le réactif, ce qui augmente le coût de l’installation.

Tarif de vente de l’Electricité photovoltaïque

Le prix de vente est fixe pendant les 20 années de la durée du contrat.

Le prix de vente dépend de la puissance crête installée, du type d’intégration, du type de contrat (vente en totalité ou en surplus) et de la date de raccordement au réseau.

Il faut noter qu’il existe un plafond égal à 1600 fois la puissance installée, au delà duquel le prix de vente est fixé à 5 c€ / kWh (vente en totalité ou en surplus).

L’arrêté du 9 mai 2017 promulgué par Ségolène Royale, fixant les conditions d’achat de l’électricité produite par les installations implantées sur bâtiment utilisant l’énergie solaire photovoltaïque, d’une puissance crête installée inférieure ou égale à 100 kilowatts, favorise les installations en auto-consommation avec revente du surplus, par le biais d’une prime.

Le prix de vente en totalité ne cesse de décroître, pour atteindre au 1ier trimestre 2019:

  • 18,72 c€ / kWh pour une puissance de 3 kWc (20 m2) en Intégration ou pas au bâti
  • 15,91 c€ / kWh pour une puissance de 9 kWc (60 m2) en Intégration ou pas au bâti.
Illustration 2

Cet arrêté a privilégié les installations avec intégration au bâti, jusqu’au 30 Septembre 2018, date à laquelle la prime IAB a pris fin.

Le prix de vente en surplus est fixe :

  • 10 c€ / kWh pour les puissances inférieure à 9 kWc (quelque soit le type d’intégration) avec une prime de 390 € / KWc si la puissance est inférieure ou égale à 3 kWc et 290 € / KWc si la puissance est inférieure ou égale à 9 kWc
  • 6 c€ / kWh pour les puissances inférieure à 100 kWc (quelque soit le type d’intégration) avec une prime de 190 € / KWc si la puissance est inférieure ou égale à 36 kWc et 90 € / KWc si la puissance est inférieure ou égale à 100 kWc.

Cet arrêté vaut le détour (avec assurément un aspirine en fin de lecture), en effet il faut bac + 10 pour en comprendre la complexité. 

Le tarif de vente en totalité prend en compte :

  • la somme des puissances crête des demandes de raccordement sur la France de chaque trimestre entre l’arrêté du 9 Mai 2017 et la date de la demande de raccordement au réseau,
  • l’indice du coût horaire du travail des industries mécanique et électriques,
  • l’indice des prix à la production de l’industrie Française.

Depuis le 1ier Janvier 2014 il n’y a plus de crédits d’impôts sur l’installation photovoltaïque.

Le gouvernement change d’orientation au gré du temps, ce qui n’est pas pour donner de la visibilité aux entreprises qui travaillent dans le secteur d’activité de l’installation photovoltaïque.

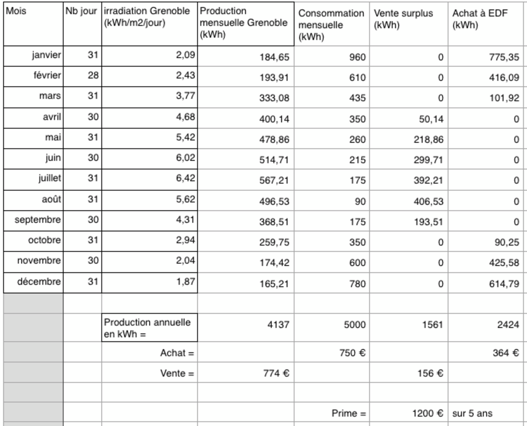
Exemple de calcul d’amortissement d’une installation photovoltaïque

L’analyse est réalisée avec le logiciel CalSol, sur la ville de Grenoble, avec les données suivantes:

  • surface du panneau photovoltaïque : 20 m2
  • Puissance crête de l’installation : 3 kWc
  • nature du panneau : mono-cristallin ( rendement = 14%)
  • rendement de l’onduleur : 95%
  • inclinaison du toit : 15°
  • indice réflexion Albédo : 0,3.
Illustration 3
Illustration 4

Dans cette analyse, nous comparerons les deux solutions.

1/ revente en totalité de la production photovoltaïque

La moyenne des prix de vente des installations photovoltaïques pour la vente à EDF d’une puissance de 3 kWc en janvier 2019 est de l’ordre de 9 000 € ttc / 12 000 € ttc. Avec une production annuelle de 4137 kWh, le plafond de 4800 kWh (3 fois 1600) n’est pas atteint, par conséquent le prix de vente est de 18,72 c€ / kWh, ce qui rapporte 774 €, soit un retour d’investissement compris entre 12 et 16 ans.

2/ Auto-consommation, avec revente du surplus

La moyenne des prix de vente des installations photovoltaïques pour l’auto-consommation avec vente de surplus d’une puissance de 3 kWc en janvier 2019 est de l’ordre de 8 000 € ttc à 11 000 € ttc.

Pour cette analyse, nous considérerons que la consommation annuelle est  5000 kWh, avec un coût d’achat à EDF de 0,15 € ttc, soit 750 € pour la consommation (sans l’abonnement).

Dans cette analyse la revente du surplus est localisée entre Avril et Septembre pour une revente de 1561 kWh au tarif de 10 c€ / kWh (soit 156 €) auquel il faut ajouter la prime de 1 200 € (3 fois 400 € / kWc) repartie sur 5 ans, soit 240€ / an sur les 5 premières années.

D’autre part pendant les mois d’hiver l’achat d’électricité à EDF se réduit à 2424 kWh, soit 364 €, au lieu de 750 €.

Ce qui donne le tableau d’amortissement suivant:

Illustration 5

Le retour d'investissement est compris entre 12 et 18 ans. La solution de l’auto-consommation n'est pas plus avantageuse que la solution vente en totalité, malgré les primes.

Le problème en France, c’est le manque de visibilité à moyen terme, sur la pérennité des mesures incitatives prisent par le gouvernement pour une filière donnée. 

Qui nous dit que la filière photovoltaïque ne sera pas détrônée par la filière éolienne ?.

L’installation de panneaux photovoltaïque sur les toitures des maisons :

  • complique l’intervention des pompiers en cas d’incendie,
  • engendre des causes supplémentaires de départ d’incendie.

1/ intervention des pompiers en cas d’incendie

La procédure d’intervention est plus compliquée, en effet les pompiers doivent identifier le type de production (vente totale ou en surplus) afin de trouver l’organe de coupure entre les panneaux photovoltaïque et l’onduleur, ce qui augmente le temps d’intervention (surtout en cas d’absence des propriétaires). Une fois que le circuit DC est ouvert, la tension entre ses bornes est de plusieurs centaines de volts (panneaux en circuit ouvert), très largement au dessus de la tension de sécurité de 60 Vdc de la norme NFC 15-100. De mon point de vue il faudrait consigner le circuit DC (mis à la terre des deux bornes), pour être en totale sécurité.

2/ causes supplémentaires de départ d’incendie

Le rendement des panneaux photovoltaïque est de 15%. Ainsi les 85% restant produisent un échauffement des panneaux qui peuvent, suivant le type d’implantation, causer des départs d’incendie. C’est la raison pour laquelle est impératif de prévenir votre assureur concernant votre assurance maison.

D’autre part, l’association 60 millions de consommateurs met en garde les particuliers sur le nombre important de problèmes diverses et variés rencontrés avec des sociétés d’installation en photovoltaïque.

Ce blog est personnel, la rédaction n’est pas à l’origine de ses contenus.