Bernard Drouère (avatar)

Bernard Drouère

Expert en réseau électrique et en traitement du signal à la retraite

Abonné·e de Mediapart

178 Billets

0 Édition

Billet de blog 22 mai 2021

Bernard Drouère (avatar)

Bernard Drouère

Expert en réseau électrique et en traitement du signal à la retraite

Abonné·e de Mediapart

Le « Remboursement » de la dette Covid-19 fait débat

La publication de Euler Hermes prévoit que la France ne pourrait rembourser la dette Covid que dans 67 ans. Il va de soit de cette énième étude montre que les projections à long terme, basées sur la croissance, ne sont pas crédibles. Il est grand temps que le gouvernement mette en place un financement pour la dette de l’Etat, comme il est fait pour la dette sociale, avec la CADES.

Bernard Drouère (avatar)

Bernard Drouère

Expert en réseau électrique et en traitement du signal à la retraite

Abonné·e de Mediapart

Ce blog est personnel, la rédaction n’est pas à l’origine de ses contenus.

La publication du leader mondial Euler Hermes des assurances-crédits des entreprises, parue le 20 Mai 2021, sur le remboursement de la dette Covid des pays de la zone Euro, prédît que la France retrouverait son taux d’endettement de 2019 entre 38 ans pour le scénario 2  « base case » et 67 ans selon le scénario 1 « business as usual ».

En réalité cette étude ne fait aucunement référence à proprement parlé de « remboursement » puisqu’il n’y a pas de ressources propres affectées au remboursement de la dette.

A contrario la France participe au désendettement de la Grèce au travers du compte d’affectation spécial depuis 2013 pour des montants allant de 118 millions en 2021 à 500 millions en 2014.

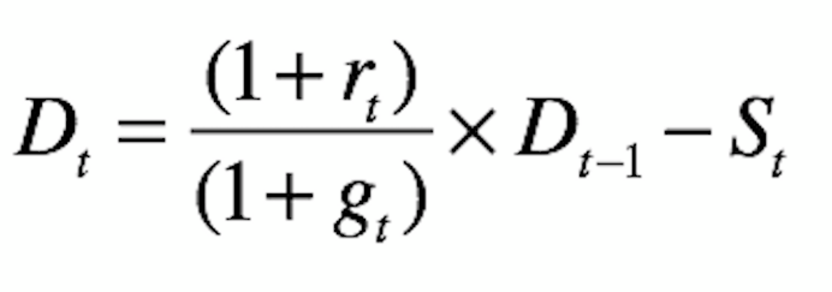
Cette étude Euler Hermes s’apparente plutôt à des projections liées:

     - à la croissance du PIB : g,

     - au taux d’interêt moyen sur l’administration publique : r,

     - à l’endettement : D

     - au solde du budget : S,

selon la formule suivante :

Illustration 1

Avant d’aller plus loin, il est bon de rappeler que la dette publique est repartie de la façon suivante :

    - 80% est détenue par  les Administrations publiques centrale (APUC),

    - 10% est détenue par les Administrations publiques locales (APUL),

    - 10% est détenue par  les Administrations de Sécurité Sociale (ASSO).

Concernant la dette des Administrations publiques locales, elle est remboursée de la même manière que pour un particulier ou une entreprise : chaque année le remboursement (intérêt et capital) se fait suivant un tableau d’amortissement.

Concernant la dette des Administrations de Sécurité Sociale, elle est remboursée de 15 milliards d’euros chaque année par la CADES (Caisse d’Amortissement de la Dette Sociale) qui dispose des ressources suivantes pour amortir la dette sociale :

     -  0,5% de CRDS (Contribution pour le Remboursement de la Dette Sociale),

     - 0,48% de CSG sur les revenus d’activité, de remplacement (chômage, pensions de retraite), du patrimoine et de placement,

      - 2,1 milliards d’euros chaque année provenant des dividendes du FRR (Fonds de réserve pour les retraites).

Par contre en ce qui concerne la dette des Administrations publiques centrale, il n’y a pas de ressources affectées au remboursement du capital de la dette.

Seul les intérêts sont remboursés chaque année, au travers de la mission « Charge de la dette » du budget général de l’état.

En ce qui concerne le capital il est « roulé » chaque année depuis 40 ans, c’est à dire que pour couvrir le déficit et les OAT (Obligation Assimilable du Trésor) qui arrivent à terme, l’état réemprunte. C’est la mission de l’AFT (Agence France Trésor) qui se situe dans les locaux de Bercy.

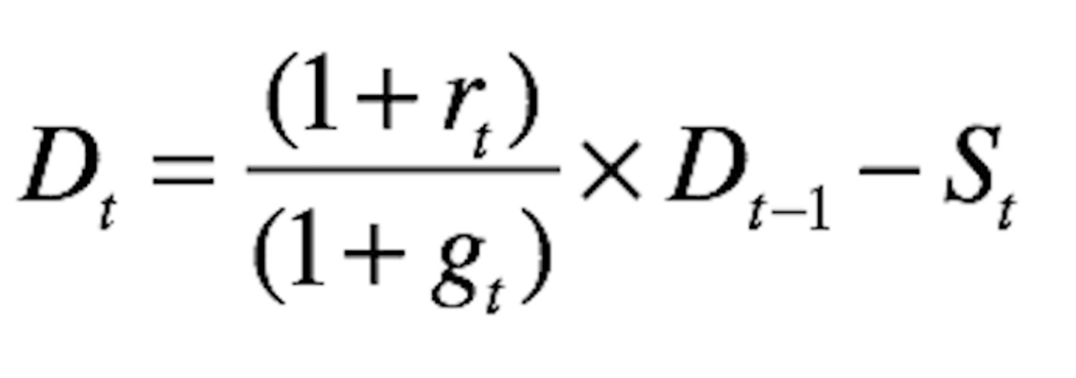
Selon  Euler Hermes les taux d’intérêts moyen jusqu’en 2022 serait de 3,2% et sur 2023-2035 de 1,2%. En s’appuyant sur l’étude :

Illustration 2

, avec un déficit de 2% et une croissance de 1,5%, la dette augmenterait de 23 points en 2035, ainsi la dette passerait de 118% en 2020 à 141% en 2035.

Ce qui est en désaccord avec le programme de stabilité 2021-2027 de Bruno Lemaire qui prévoit un maintient de la dette publique juste en dessous de 120%.

Il est grand tant que le gouvernement mette en place un financement pour rembourser la dette de l’Etat, comme il est fait pour la dette sociale, avec la CADES.

Ce blog est personnel, la rédaction n’est pas à l’origine de ses contenus.