Billet de blog 18 octobre 2014

anne gervais

Abonné·e de Mediapart

La plomberie du soin (partie 2/2)

anne gervais

Abonné·e de Mediapart

Ce blog est personnel, la rédaction n’est pas à l’origine de ses contenus.

 Deux siècles après Robespierre, l’être suprême est devenu plombier, surtout quand il s'occupe de parcours de soins.

Aide indispensable à la plomberie hospitalière (cf partie 1) la menuiserie bureaucratique débite à la tronçonneuse de jolis rondins de novlangue dans les rapports, contrats d’objectifs, plans stratégiques des établissements de santé : « flux de malades aux urgences », « fluidité des parcours patients ». On peut lire sur le site des Hôpitaux Civils de Lyon, « la préoccupation réaffirmée de fluidifier les fluxs » 

Illustration 1

Renseignement pris auprès d’un physicien, la fluidification du flux n’a rien de révolutionnaire, elle consiste à en réduire la viscosité.

Le casse-tête (cf article précédent) du quotidien hospitalier est donc de lutter contre la viscosité de malades s’écoulant difficilement dans la plomberie. Ceux qui la bouchent sont appelés "bed blockers" et sédimentent solidement.
Selon le rapport de l’IGAS de 2011 sur les hospitalisations non pertinentes, les personnes âgées sont les plus susceptibles de demeurer à l’hôpital, mettant en difficulté la mécanique des fluides. Les raisons sont multiples : perte de l’autonomie indispensable pour le retour à domicile, polypathologie et fragilité de l’état de santé dégradée par un épisode aigu, éventuel isolement social…

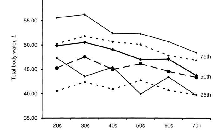
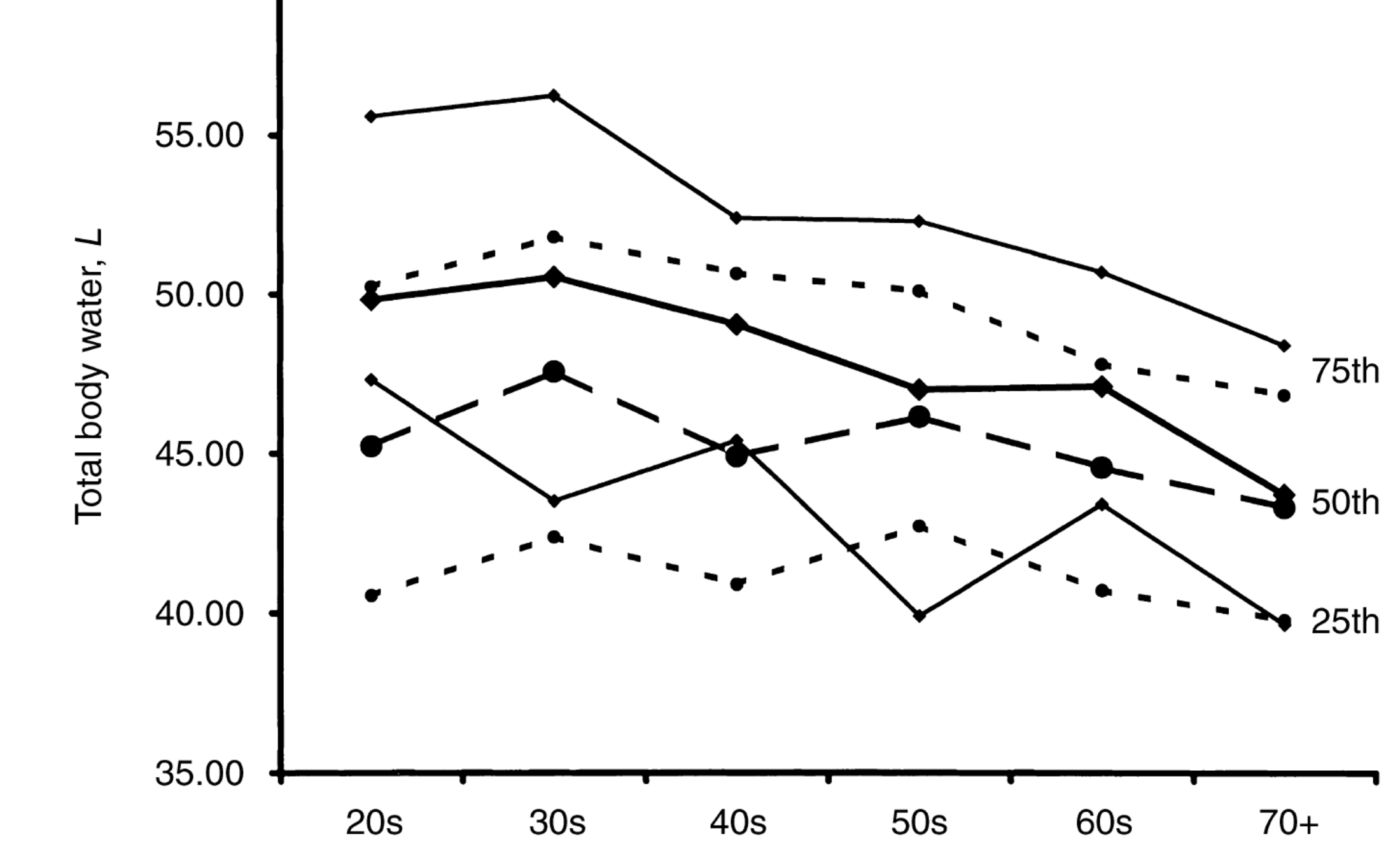
Or comme le signalait très justement un manager hospitalier, la tâche est d’autant plus rude que l’hydratation corporelle baisse au cours des années, expliquant les catastrophes caniculaires….

Illustration 2

ἐκ τοῦ ὕδατός φησι συνεστάναι πάντα (« L'eau est la cause matérielle de toutes choses »). Thales -625 à -547 av JC, vieille histoire finalement.

Ce blog est personnel, la rédaction n’est pas à l’origine de ses contenus.