spectrumnews.org Traduction de "Social skills decline during adolescence for a sliver of autistic youth"
Les aptitudes sociales diminuent à l'adolescence pour un petit nombre de jeunes autistes
Calli McMurray - 24 août 2023
L'hétérogénéité qui caractérise l'autisme marque également ses trajectoires de développement : Les compétences sociales et de communication de la plupart des enfants autistes s'améliorent avec le temps, mais un petit sous-ensemble d'enfants présente un fonctionnement social élevé pendant l'enfance qui diminue pendant l'adolescence, selon une nouvelle étude longitudinale.
"Beaucoup d'études considèrent l'hétérogénéité de manière plus statique", explique Jennifer Ames, chercheuse à Kaiser Permanente Northern California à Oakland, qui n'a pas participé à l'étude. "Cette étude montre que l'hétérogénéité est beaucoup plus évolutive que cela".
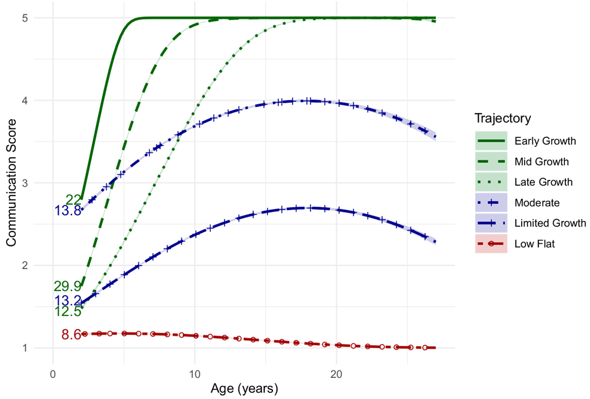
Les nouveaux travaux, publiés aujourd'hui dans Pediatrics, ont suivi les compétences de communication et les aptitudes sociales de plus de 71 000 personnes autistes, depuis le moment du diagnostic jusqu'à l'âge de 27 ans. D'après la modélisation statistique, les capacités de communication de la cohorte s'inscrivent généralement dans l'une des six trajectoires, ou sept pour le fonctionnement social, rapportent les chercheurs.
Les six trajectoires modélisées des aptitudes à la communication

Agrandissement : Illustration 1

Dans l'ensemble, la plupart des participants à l'étude ont amélioré leurs compétences sociales et de communication en vieillissant, du moins jusqu'à ce que leurs compétences atteignent un plateau. Mais 5 % des participants ont suivi un chemin différent. Après avoir fait preuve d'aptitudes sociales élevées au début de l'enfance, les aptitudes de ce groupe ont diminué "de façon spectaculaire" vers l'âge de 15 ans, après le début de la puberté, explique l'investigatrice principale Christine Fountain, professeur agrégé de sociologie à l'université Fordham de New York.
Les adolescents de ce groupe étaient plus susceptibles d'être des filles, d'être blancs et non hispaniques, et d'avoir une mère n'ayant qu'un diplôme d'études secondaires. La plupart des membres du groupe ont fait preuve d'un développement précoce et rapide de la communication.
Les différences observées dans ce groupe pourraient être dues à l'évolution des facteurs de stress et des attentes sociales liés à la puberté, explique Fountain, ainsi qu'à l'apparition de troubles psychiatriques qui se manifestent plus tard dans l'adolescence. Dans ses travaux futurs, Fountain prévoit d'examiner comment l'environnement façonne les attentes sociales placées sur ce sous-groupe.
Les enfants qui se sont le plus améliorés tout au long de leur développement étaient plus susceptibles d'appartenir à des familles disposant de plus de ressources, comme l'indiquent le niveau d'éducation de la mère, la couverture d'une assurance privée et la valeur médiane plus élevée de la maison dans leur code postal. En outre, les enfants de mères hispaniques, noires, asiatiques ou nées à l'étranger étaient surreprésentés dans les groupes à croissance réduite, tandis que les enfants de mères blanches étaient surreprésentés dans les groupes à croissance accrue.
"L'étendue et l'inclusion de variables socio-économiques plus nuancées sont vraiment importantes", déclare Teresa Bennett, professeure agrégée de psychiatrie et de neurosciences comportementales à l'université McMaster de Hamilton, au Canada, qui n'a pas été impliquée dans l'étude. Les études futures devraient tenter d'élucider "les mécanismes qui relient certains de ces facteurs de risque socioéconomiques précoces à des résultats différents au fil du temps", ajoute-t-elle.
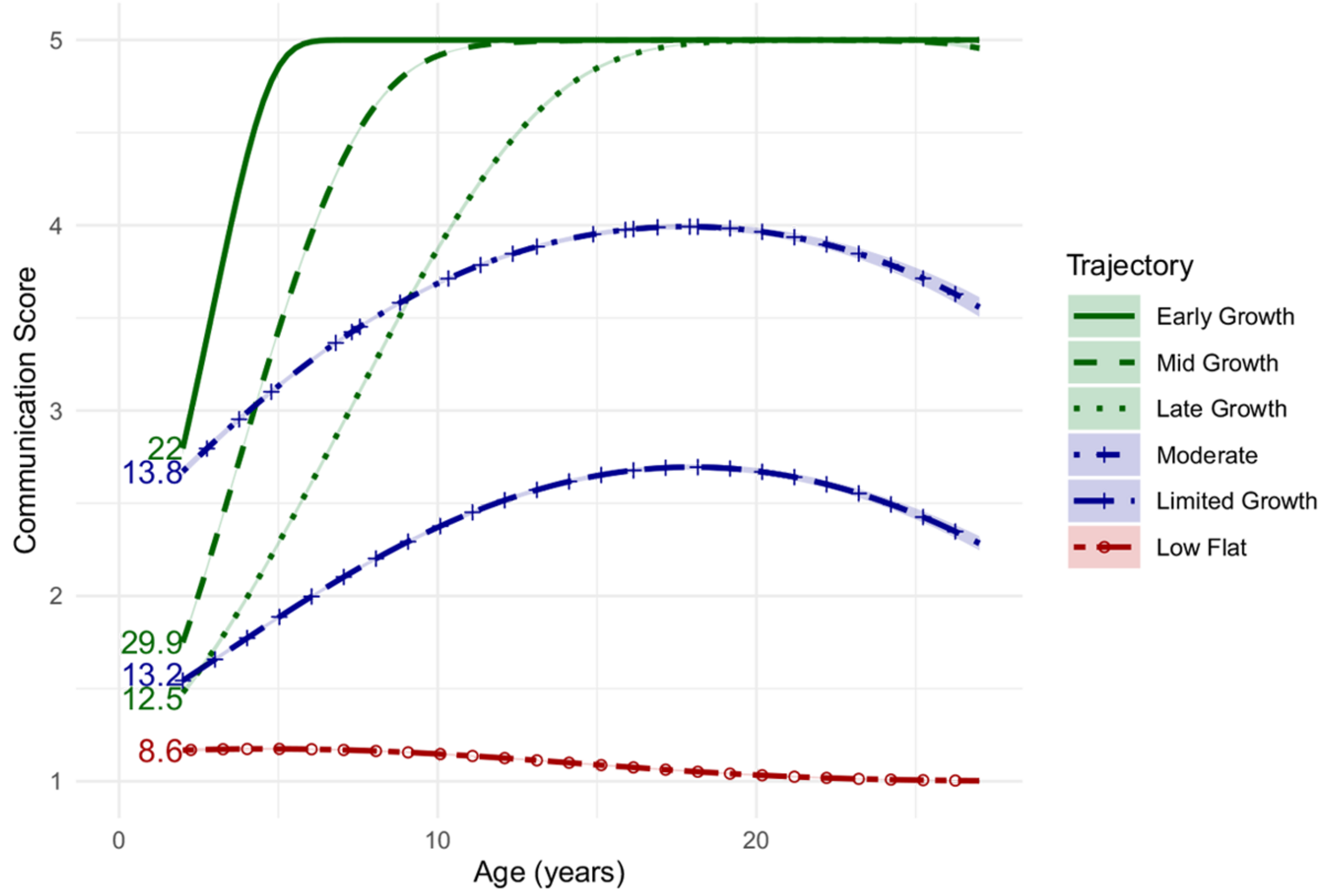
Les sept trajectoires modélisées du fonctionnement social

Agrandissement : Illustration 2

L'étude s'est appuyée sur les dossiers des évaluations médicales annuelles recueillies par le département californien des services de développement pour les enfants nés entre 1992 et 2016. Chaque année, les médecins ont évalué les compétences sociales et de communication de chaque participant à l'aide du Rapport d'évaluation du développement du patient (Client Development Evaluation Report).
Cette mesure n'est pas une évaluation clinique, mais plutôt un outil administratif permettant de déterminer les besoins en matière de services, précise Fountain. "Il serait excellent de pouvoir reproduire ce type d'étude en utilisant des mesures validées sur le plan clinique."
Une autre limite de l'étude est que l'échantillon ne comprend que des personnes autistes, de sorte qu'il n'est pas possible de comparer leurs trajectoires à celles de personnes non autistes ou présentant d'autres troubles du développement neurologique, explique Ames.
Enfin, la taille gigantesque de la cohorte fait qu'il est difficile de tirer des conclusions exploitables des résultats, explique Laurent Mottron, professeur de psychiatrie à l'université de Montréal au Canada, qui n'a pas participé à l'étude. "Il n'y a que de l'hétérogénéité à l'entrée et de l'hétérogénéité à la sortie."
Une meilleure approche, ajoute-t-il, aurait consisté à stratifier la cohorte en fonction des aptitudes sociales ou d'élocution des enfants au début de leur développement - par exemple un groupe présentant un retard d'élocution à l'âge de 3 ans - et à suivre ensuite leurs trajectoires, "au lieu de prendre de grands groupes et d'attendre d'un robot qu'il crée automatiquement des sous-groupes".
Mais l'hétérogénéité de l'échantillon est également un atout, selon Fountain. "Elle nous permet de nous faire une idée de l'ensemble de la population californienne", au lieu de nous concentrer sur un petit échantillon clinique qui n'est pas représentatif de tout le monde.
Citer cet article : https://doi.org/10.53053/TPKR5240