Marc Tertre (avatar)

Marc Tertre

Education populaire (science et techniques), luttes diverses et variées (celles ci qui imposent de "commencer à penser contre soi même") et musiques bruitistes de toutes origines

Abonné·e de Mediapart

147 Billets

10 Éditions

Billet de blog 31 mai 2019

Marc Tertre (avatar)

Marc Tertre

Education populaire (science et techniques), luttes diverses et variées (celles ci qui imposent de "commencer à penser contre soi même") et musiques bruitistes de toutes origines

Abonné·e de Mediapart

Miscellanées scientifiques du mois de mai 2019 spécial Modèle Standard

Ce mois ci des miscellanées spécial "modèle standard de la physique des particules" en raison du décés de Murray Gell Mann, un des principaux artisan de cette théorie. Mais aussi rappel de femmes scientifiques oubliées, le rôle des associations arbres/champignon dans l'effet de serrre, les mathématiques et la culture et toujours les jeux

Marc Tertre (avatar)

Marc Tertre

Education populaire (science et techniques), luttes diverses et variées (celles ci qui imposent de "commencer à penser contre soi même") et musiques bruitistes de toutes origines

Abonné·e de Mediapart

Ce blog est personnel, la rédaction n’est pas à l’origine de ses contenus.

Décès : "L'inventeur" des quarks est mort ce 24 mai

Illustration 1

Murray Gell-Mann est mort. C'est un esprit original mais aussi un formidable découvreur qui nous a quitté. Ses deux apports essentiels a la science de la physique des particule ont apportés une contribution essentielle à ce qui est nommé son "modèle standard". C'est d'une part une certaine "rationalisation" des particules (ce qui lui a valu le prix Nobel en 1969) et surtout  l'invention d'une nouvelle famille de particules, les quarks. au nombre de six (de leur nom UP, DOWN,TOP, BOTTOM,CHARM,STRANGE)

Il avait en effet formulé l'avis que le proton et le neutron, les deux composants du noyau atomiques sont eux même composés d'éléments plus petits, les quarks (nommé en l'honneur du grand poète et écrivain James Joyce) UP et DOWN. Il exite également des quarks correspondant aux autres particules subatomiques semblables a l'électron en ce qu'ils ne sont pas sensible à "l'interaction forte" (celle qui explique la cohérence du noyau des atomes) le muon et le lepton Tau (voir tableau un peu plus bas)

C'est lui aussi qui a mené à une rationalisation des éléments constitutifs de la matière avec 16 éléments distincts qui forment la base de ce qu'on appelle le "modéle standard" de la physique des particules

Illustration 2

 On remarque que dans ce tableau deux composants essentiel de "la physique" qui nous ont été appris à l'école ont disparu : le neutron et le proton sont en effet absents ! En fait c'est parce que selon ce modèle, le proton et le neutron sont remplacé par trois quarks

Le proton est constitué de trois quarks :  deux quarks up et d'un seul quark down.
Le neutron est lui aussi aussi composé de trois quarks :  deux quarks down et d'un seul quark up.

On parle également de nouveaux concepts : les bosons, les leptons, les hadrons. Ces concepts serons expliqués dans le chapitre consacré à l'équation fondamentale du modèle standard

Un 17° élément a été rajouté dans les années 70 : le boson de Brout Engels et Higgs (les deuxpremiers noms ont été rajoutés aprés protestation de ceux ci)

Mais au dela de ces découvertes qui en font un des physiciens les plus important de son époque, Murray Gell Mann était surtout un esprit vif, curieux et résolument original . Il professait d'ailleurs un certain détachement à l'égart de sa discipline de prédilection, la physique. Il expliquait ainsi que celle ci n'avait pas été une passion de jeunesse mais plutot une obsession paternelle auquel il avait sacrifié plutot tardivement :  « C'était la seule matière dans laquelle j'étais mauvais au lycée, je la détestais », racontait-il sur le site internet de Caltech. « Et donc j'ai choisi la physique, après quoi je me suis mis à l'aimer. J'ai découvert que mon père avait raison (...) La mécanique quantique et la relativité étaient quelque chose de merveilleux. »

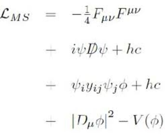
L'équation du mois : Formule simplifiées  du modèle standard

Illustration 3

 Aujourd'hui l'équation proposée est celle qui régit ce qu'on appelle "le modèle standard de la physique des particules" Pour la comprendre, il faut d'une part comprendre le type d'objet mathématique qu'elle représente, mais aussi dire quelques mots de ce "modèle standard" qui est encore aujourd'hui le "modèle insurpassable en ce qui concerne la physique de l’infiniment petit (la matière à un degré d'abstraction très éloigné de celle de la plupart des citoyens, même de ceux qui ont une culture scientifique élémentaire)

Cette équation est d'abord un "lagrangien" nous disent les spécialistes Mais qu'est ce qu'est un "lagrangien ? En fait cet outil est un instrument mathématique et physique trés ancien puisqu'il a été inventé en 1788 par le mathématicien Joseph Louis Lagrange

Qu'est ce que c'est que le lagrangien ?

Les équations de Lagrange, découvertes en 1788 par le mathématicien Joseph Louis Lagrange, sont une reformulation de la mécanique classique, en particulier celle des lois de Newton Celles ci sont reformulées a partir de contraintes physiques fondamentales, en particulier la loi de conservation de l'énergie Le "lagrangien" d'un systéme est une fonction qui permet de réécrire les équations de mouvement du systéme

Illustration 4

La validité de lois de conservation comme celle de l'énergie ou de la quantité de mouvement, initialement établie pour des points matériels, sera alors tout aussi assurée pour le champ électromagnétique si l'on peut mettre les équations de Maxwell sous la forme d'un Lagrangien. C'est bien le cas.

La situation est d'ailleurs très profonde et a des répercussions en mécanique quantique et en théorie quantique des champs par l'intermédiaire du théorème de Noether reliant l'invariance du Lagrangien par certaines transformations de symétries et l'établissement de lois de conservation.

Ainsi, si l'on écrit une équation différentielle avec des variables n'ayant pas de rapports directs avec les positions d'un système de particule, mais dérivant d'un Lagrangien pouvant avoir la forme de celui d'un système de particules invariant par translation dans le temps, alors on pourra définir une fonction   qui correspondra à une énergie et satisfera à une lois de conservation.

Précisions sur le "modèle standard"

On a vu dans le tableau de particule découlant du modèle fourni par Murray Gell-Mann apparaitre des mots nouveaux : bosons, leptons par exemple (sans parler évidemment des quarks) Tout cela se rapporte à l'explication "opérationnelle" de la physique des particules, le fameux "modéle standard"

L'objectif est de ramener l'ensemble de la physique des particules autour de forces fondamentales Elles sont aujourd'hui autour de 4 : la gravité (celle qui fait que la pomme tombe de l'arbre quand Newton fait une sieste) l'électromagnétisme, et deux forces au niveau de l'atome : la force forte (qui tient les composants du noyau ensemble) et la force faible (qui explique certaines formes de désintégration)

Illustration 5

Dans ce cadre certains des éléments du tableau des particules ont un rôle fondamental dans l'apparition de ces forces, ce sont les fameux "bosons"

Ces fameux "bosons sont des "particules virtuelles" porteurs des interactions fondamentales en question.

Certains bosons sont liés a des "théories de jauge" importante pour la mathématique des champs dont le "modéle standard fait un usage important

Le bosons Z et le boson W expliquent l'interaction faible

Le gluon explique l'interaction forte

le Photon est le "boson de jauge" de l’électromagnétisme.

On voit bien tout de suite qu'il y a un probléme : ou est passé la gravitation ? Il existe bien une particule dédiée, le Graviton qui pourrait rendre ce modéle cohérent, mais une série d'obstacles empêchent l'intégration de ce dernier dans le modèle standard

Une tentative relativement aboutie permet de fusionner deux forces fondamentales (la "force faible" et "l’électromagnétismondancee) dans une force composite : l'interaction unifiée élecrofaible. Mais il faut expliquer pourquoi en pratique celle ci donne en pratique deux forces bien distinctes Il y a également un incohérence sur des question de masse des bosons. Tout cela a conduit a postuler l'existence d'un élément supplémentaire, le boson de Higgs ou beson BEH

On voit clairement le caractére un peu "bricolé" du fameux "modéle standard" Ce qui ne l’empêche pas d’être quand même très "solide" dans sa correspondance avec les expériences menées jusqu'a présent.... Jusqu'a un certain point : il reste quand même bien des incohérences inexplicable...

La véritable formule

Un des gros probléme de la formule donnée en référence c'est qu'elle est simplifiée pour des raisons pratiques. La véritable formule compléte apparait ci dessous. L'élégance (relative) du lagrangien donné en référence disparait alors totalement et laisse apparaitre la redoutable complexité des phénomènes étudiés. Et une des limite du fameux "modéle standard"

Illustration 6

Et maintenant ?

Le caractère quelque peu bricolé de la théorie du "modéle standard"  laisse apparaitre la possibilité d'une nouvelle théorie plus aboutie

Des théories ont fleuris, ce qu'on appelait des "théories du tout" puisqu'il était question d'une théorie unificatrice entre d'une part les quatres forces (ramenées à une seule) et la divergence fondamentale entre la "théorie de la relativité" (qui régne en maitre dans les dimension macro,  celle de l'univers) et celle de la mécanique quantique (qui régne sans contestation possible sur celle de la matiére à la dimension nano)

Deux théories ont été mise en avant ; d'une part la "théorie des cordes" qui semble marquer le pas, et une autre théorie qui s'appelle la "gravitation quantique" Mais nous reviendrons plus tard sur ces théories complexes et sur les difficultés a les mettre en évidence via des expériences. La physique est une "science expérimentale" mais ces deux théories ont une grande difficulté à pouvoir déterminer une "expérience ultime" qui démontrerait leur cohérence et leur valeur en tant que théorie destinée a remplacer le bricolage actuel. Mais c'est évidememnt que ces théories touchent aux limites de ce qui peut etre connaissable par la science telle qu'on la conçoit actuellement.

La scientifique du mois : Trois femmes oubliées

En dehors de la physique des particule (elle aussi fortement masculine) il existe d'autres domaines oubliés. Poursuivant une recherche sur les femmes oubliées de la science, c'est ces domaines qui ont été explorés Ce mois ci, on parlera de femmes qui se sont effacé devant leur compagnon, ou que la postérité à oublié au profit de celui ci

La recherche est rarement un art solitaire. Souvent (et tout particulièrement avant le vingtième siécle et la "professionnalisation de la science" celle ci s'effectuait en couple. Voila trois femmes qui furent d'éminentes scientifiques, oubliées par la postérité au profit de leur prestigieux maris ou compagnon  :

Margareth Huggins

Illustration 7

William et Margareth Huggins sont un couple d'astrophysiciens tous deux inovateurs dans le domaine de la spectographie appliquée à l'astronomie Margareth Huggins est trés vite orpheline de pére, sa mére se remariant aussitot. Elevée par son grand pére, celui ci lui enseigne des rudiments d'astronomie qu'elle complète de lectures personnelle. Mariée en 1875 avec Williams Huggins, elle est aussitot associée a celui ci et ils publient conjointement leur travaux.  Elle est la première à découvrir que l'intérieur de la nébuleuse d'Orion est composé d'oxygène surchauffé et non d'un solide.

Mary Puttnam Jaccobi

Illustration 8

Abraham et Mary Puttnam Jaccobi sont un couple de médecin : Abbraham Jaccobi est très connu comme médecin pédiatre. Son épouse, Mary puttnam Jaccobi est elle connu pour ses travaux sur la santé féminine et ses combats féministes (c'est une des premiéres "suffragettes") Elle a fait ses études de médecine à l'université de médecine de paris aprés avoir fait des études équivalentes en grande bretagne. Le moins que l'on puisse dire est qu'elle a du batailler ferme pour gagner le droit de participer à l'ensemble des activités médicales suite au refus de certains médecin de laisser des femmes accéder à ces études L'assemblée des professeurs se réunit le 27 novembre 1867, le professeur des opérations et des appareils Pierre Denonvilliers rappelle l'opposition du Conseil de l'Instruction publique, qu'il préside, jugeant l'entrée des femmes dans la médecine comme contraire aux mœurs et aux conditions sociales. Le professeur de clinique médicale Jules Béhier fait remarquer que "la femme, étant mineure par le fait du mariage, échappe donc à toute responsabilité personnelle et que par conséquent l'adoption de Mlle Putnam pourrait entraîner de graves complications." (source Médecines du monde entier)

Anna Bodtford

Illustration 9

Epouse de John Henry Comstock un célèbre entomologiste dont elle fut l'éléve, elle représente une catégorie très représentée chez les femmes de naturalistes, celles qui se sont vouées à l'illustration.

Elle a étudiée la gravure a la fin des années 1880 et fut une des premières femmes à être admise dans la confrérie très fermée des graveurs sur bois (à l'époque, on imagine même pas pouvoir parler de "graveuse sur bois") Elle illustre les cours et les ouvrages de son mari, son nom apparaissant parfois à ses côtés. Elle œuvre notamment sur le Manual for the Study of Insects (1895) et Insect Life (1897). Elle devient très vite une illustratrice réputée, et elle est demandée pour d'autres collaborations que celle nouées avec d'autres scientifiques. Mais elle a été aussi autrice d'ouvrages destinés au grand public  mélangeant poésie pure et soucis scientifique d'une étonnante modernité.

Sa réputation grandissante la mènera à une nomination de professeurs assistant à l'université de Cornell. La protestation du Comité Directeur de la structure entrainera sa rétrogradation au titre de simple conférenciére et elle ne retrouvera le titre de professeur assistant qu'en 1913 avant de devenir professeur en titre en 1920, deux ans avant son départ en retraite.

Ces péripéties seront a l'origine d'un combat important des femmes et de la bataille de celles ci pour etre reconnue à part entiére par l'université et par les autorités scientifiques en général. Il est inutile de rappeler qu'il s'agit d'un combat qui reste encore largement d'actualité.

La découverte du mois : l'alliance arbre champignon favorise le climat

Une des recherches les plus prometteuses de ces dernières années en biologie végétale concerne les mycorhizes, l'alliance des plantes (et singuliérement des arbres qui en font une grande utilisation) et des champignons dans des réseaux complexes aux interactions prometteuses (les champignons fournissant aux plantes éléments minéraux qui leur manque et protection éventuelles contre certains insectes alors que les plantes elles procurent aux champignons des sucres)

Illustration 10

Une étude internationale a permis d'évaluer en profondeur ces interactions prometteuses. L'étude considérable porte sur 31 millions d'arbres de 28000 espéces répartis dans 70 pays.  Un élément important qui ressort de cette étude est que le mécanisme de cette association est étroitement associé au climat.

À partir des données de la Global Forest Initiative, 31 millions d’arbres de 28 000 espèces, répartis dans 70 pays de tous les continents (sauf Antarctique) ont été pris en compte. On apprend que le type de mycorhize dépend du climat. Les ectomycorhizes (les hyphes entourent simplement les racines de l’arbre) sont notablement plus abondantes dans les régions tempérées et froides tandis que les endomycorhizes (les hyphes pénètrent à l’intérieur des racines de l’arbre). Or avec les premières (60 % des arbres mondiaux pour seulement 2 % des espèces !), la séquestration du carbone dans le sol est plus importante, grâce à des composés secondaires inhibant la dégradation de la matière organique. La transition géographique entre les deux types est nette.

Illustration 11

Bibliographie du modèle standard de la physique des particules

Le fameux modèle standard de la physique des particule a suscité une littérature pléthorique ou il est difficile de s'orienter.  De la vulgarisation la plus générale à des ouvrages pointus, tout un éventail de propositions (en terme pédagogiques) existent.

Petit panorama de quelques titres qui selon moi valent le coup d’être lu (Note importante : cet article est par nature participatif : si vous connaissez un ouvrage que je n'ai pas cité, et qui vous parait intéressant, vous pouvez le citer dans vos commentaires)

Bruno Mansoulié Toute la physique en 15 équation 158 pages Flammarion 2017

Illustration 12

Un ouvrage d'un abord trés simple qui permet de comprendre "l'outillage mathématique" du physicien et pourquoi celui ci y recours si généralement. Evidemment, il ne traite pas que du "modéle standard, mais il termine par lui. Indispensable si vos connaissances en la matiére sont purement scolaires

Jacques Léon La construction de la matiére : le modéle standard Ellipses 2016 33 pages

Illustration 13

Le bouquin de référence sur le "modéle standard" et ses conséquences en terme de conception même de ce qu'est la physique. Trés simple mais aussi trés complet : tout est expliqué, rien n'est laissé sous silence Ne nécessite aucune connaissance approfondie en mathématique

Gilles Cohen Tannoudji Michel Spiro Le boson et le chapeau mexicain

Illustration 14

Ecrit par deux pointures (française) du domaine, un bouquin passionnant sur la genése du "boson de Brout, Englert et Higgt et sa recherche par le CERN dans le LHC (large Hadron Collect) La science en train de se faire, à son meilleurs niveau. Simple à comprendre sans simplifier outrageusement les problématiques

Gordon Kane Le jardin des particules Masson 19996 206 pages

Un bouquin déja ancien (la physique des particule à ceci de commun avec l'informatique c'est "qu'elle va vite) mais qui reste parfaitement d'acutalité sauf quelques détails sans importance. Plein d'humour et trés pédagogique, c'est le complément indispensable à l'ouvrage éponyme sur "le modéle standard" 

Antoine Kouchner Stephane Lavignac A la recherche des neutrinos Messagers de l'infiniment grand et de l'infiniment petit Dunod 2019 230 Pages

Un bouquin absolument délicieux sur la recherche acharnée du neutrinos, cette "particule improbable" particuliérement difficile à observer. La vie scientifique est quelquefois une belle aventure : cet ouvrage là en rend parfaitement compte.

Il combine explications pédagogique et rend compte des multiples tentatives pour saisir un élément insaississable.

Roger Penrose - La nouvelle physique de l'univers : mode, croyance, imaginaire Editions Odile Jacob 2018 552 pages

Illustration 15

Autant les autres sont pour la plupart d'une facilité d'approche déconcertante, autant celui ci risque de vous surprendre Plutot difficile d'accés, il ouvre à de vertigineuses découvertes

Francis Bernardeau, Étienne Klein, Sandrine Laplace, Michel Spiro Coordination Sylvan Huet Conversation sur la physique de l'infiniment petit à l’infiniment grand Collection Champ flamarion 2019

Illustration 16

Réédition en poche d'un livre précédement édité par "les liens qui libérent" (éditeur tout a fait passionnant en science mais aussi en sociologie et dans les science humaines en général) un livre tout a fait pédagogique sur une histoire "mouvementée" de la science et une  réfléxion sur la "big science" et ses découvertes

Le savez vous ?  :

Qu'est ce que la DEB et quelle est son utilité .?

Une dose équivalente en banane (ou DEB) est une unité informelle de radioactivité parfois évoquée dans des communications sur l'énergie nucléaire, pour comparer le danger des rayonnements ionisants à celui qui est généré par l'ingestion d'une banane. Une dose équivalent banane correspond à une dose efficace de l'ordre de 100 nSv.

De nombreux produits alimentaires présentent une radioactivité naturelle, et en particulier les bananes, du fait du potassium 40 qu'elles contiennent à raison de 0,017 % en masse du total. La dose équivalente en bananes consiste alors à mesurer un rayonnement radioactif en nombre de bananes nécessaires pour l'atteindre.

Quelle est le plus grand volcan du système solaire ?

Le plus grand volcan du systéme solaire se trouve sur Mars L’Olympus Mons est un volcan bouclier de 624 km de diamètre (environ la même taille que l’Italie), de 25 km de haut et est bordée par une grande escarpe de 6 km de haut. 

Quel est l'effet de la 5 G sur les fourmis ?

Les scientifiques sont intrigués par un effet constaté sur les antennes des fourmis. En effet, soumises aux fréquences particuliéres de la 5 G, les antennes des fourmis chauffent. On a jamais constaté cet effet pour les anciennes génération de téléphone cellulaire

Le brevet de quel médicament  a t il été donné comme dommage de guerre aux alliés aprés la guerre de 14 ?

Aprés la premiére guerre mondiale, l'allemagne (et Bayer) ont été obligé de céder le brevet de l'aspirine comme "remboursement aux domages de guerre"

L'expérience du mois : l'expérience de la feuille d'or de Rutherford

De temps en temps, il arrive que soit proposées ici des expériences. L'objectif en général est de proposer des expériences réalisable par n'importe qui, sans matériel spécialisé. Tout ceci pour expliquer "de façon sensible" que les sciences ne sont pas que théories obscures et mathématiques compliquées....

Celle proposée ce mois ci est différente : c'est une expérience "historique" qui a fondée "la théorie atomiste" sur lequelle s'appuie "le modéle standard en physique des particules" Rappelons que "la théorie atomique" n'a rien de nouveau, puisqu'elle a été développée dans la gréce antique et chez les Romains ("De Natura Rerum" de Lutéce comporte une partie décisive dans l'ouvrage ou l'auteur explique ce que les anciens en comprenaient) Sauf qu'elle était plus un "concept philosophique" qu'une théorie scientifique à proprement parler...

L’électron comme constituant de la matière avait été découvert en 1897 par un physicien anglais Thomson qui va mettre en évidence l'existence d'électrons comme il est rappelé dans la vidéo pédagogique ci dessous  Mais on ne comprenait pas alors comment l'électron s'inscrivait dans cette  hypothése "atomique" alors remise au gout du jours. La mise au point de "l'écran cathodique" appelé à sa création dans les années 1860 "tube de crooke" va permettre de visualiser le phénoméne. 

[Histoire des sciences] La découverte de l'électron © CEA Recherche

Cette hypothèse (la matière est "composée d'atomes insécables") a connue une longue période d'oubli, avant que d'etre redécouvert au début du XX siécle. Un des artisans essentiel a cette redécouverte fut le physicien Ernest Rutherford. Celui ci en particulier découvrit le phénomène de la radioactivité Alpha et Béta et la désintégration  qui les accompagne. 

Mais il restait a comprendre comment l'atome est constitué. C'est l'autre apport considérable de Rutherford, celui de déterminer que l'atome est constitué d'un noyau autour duquel gravite des électrons. Celui ci conduit a réévaluer l’hypothèse de l'atome, mais Rutherford mis au point en 1911 une expérience qui permit de constater que l'atome loin d'etre "insécable" (ce qui ressort de son nom même) mais elle est composée d'un noyaut extrémement lourd et d'éléments plus légers qui gravitent autour à la maniére d'une planéte autour de son étoile (les électrons)

Illustration 18

Une trés mince feuille d'or est bombardée par un faisceau de particules alpha constitué de Polonium (un des rares élément radioactif connu à cet époque) et de constater leur trajectoire sur un écran fluorescent situé juste aprés la feuille d'or

Or si la plupart des particules traversent la feuille d'or sans connaitre de déviations, un petit nombre d'entre elles sont fortement déviées et d'autres sont même renvoyées en arriérè.

Ces différentes observations mettent en évidence que la matière qui constitue la feuille d’or est concentrée en certains endroits, appelés noyaux, entre lesquels existe beaucoup d’espace vide. De plus, les fortes déviations constatées montrent que quelques particules alpha sont entrées en collision avec des particules largement plus lourdes que ces dernières : l’interprétation qui en découle est que donc les noyaux ont une masse importante.

Le Livre du mois : culture Maths par la revue Tangente

Illustration 19

Evidemment, les maths ce n'est pas "les sciences", mais c'est un outil indispensable pour nombre d'entre elles. Mais les maths ne sont pas uniquement utile pour les autres sciences, c'est aussi une discipline qui a sa beauté, ses valeurs, et qui influence divers secteurs de l'activité humaine en dehors des "sciences exactes". Le reccueil proposé par la revue "Tangente" en est une trés agréable illustration, tant par le nombre et la diversité de ses exemples que dans le panorama qu'elle propose des différents approches du rapport "sciences versus culture"

Quatriéme de couverture :

À qui douterait que les mathématiques sont partie intégrante de la culture, ce recueil apporte d’intéressants sujets de réflexion.

Si l’on sait bien que Bach composait en jouant avec les nombres, que George Perec construisait ses romans comme des algorithmes ou que Raymond Queneau était un mathématicien distingué, on connaît moins l’influence de l’algèbre sur les Histoires extraordinaires d’Edgar Poe, les nouvelles de Borges et l’architecture de Le Corbusier, ou l’emprise de la géométrie sur la sculpture moderne et l’œuvre de Paul Klee. Plus étrange encore, on découvrira ici, entre autres, la notation mathématique de la danse et la remarquable trouvaille du chanteur Boby Lapointe qui proposa de remplacer le système binaire par un système « bibinaire » qui trouvera peut-être un jour d’intéressantes applications.

De quoi démontrer par a + b qu’avec les mathématiques, c’est l’imagination qui prend le pouvoir !

Revue Tangente Culture math Edition du Seuil 2008

Et toujours les jeux

Ce mois ci trois jeux tiré du mème ouvrage qui sera donné en référence aprés les énoncés de ceux  ci

Trouvez les interrupteurs

Regardez l'image ci dessous

Illustration 20

Les interrupteurs A à G changent l'état des lampes qu'elles contrôlent Si un interrupteur est actionné, les lampes concernées passent de l'état éteint à l'état allumé, ou au contraire de l'état allumé à l'état éteint

A change 1 3 5

B change 2 7

C change 3 4 6 7

D 1 4 5 7

E change 1 et 6

F change 2 3

G change 2 4 6

A l'origine les septs lampes sont eteintes Sur quels interupteurs faut il agir pour que les septs lampes soient allumées ?

phrase autoréférente

Cette phrase comptient un seul mot de trois lettre

Cette phrase est autoréférente : l'affirmation qu'elle comporte s'applique à elle même

Trouvez les lettres pour compléter cette phrase et la rendre auto référente

Cette phrase comporte   consonnes pour    voyelles

Triche a l'échiquier

Illustration 21

J'ai placé les pions de l'échiquier de telle façon qu'un soldat soit seul sur sa ligne et sa colonne sans oublier sa diagonale

Puis je suis aller répondre a des "besoins naturels"

En revenant des toilettes j'ai constaté que mon chat (qui est un grand plaisantin) avait modifié la position de deux piéces mais que la régle  fixée était toujours respectée. La disposition des pieces est maintenant celle notée ci dessous. Pourriez vous retrouver la position d'origine ?

L'ensemble de ces jeux (et d'autres encore plus sympatiques peuvent etre trouvé sur un ouvrage des éditions Dunod

Louis Thépault Pour le plaisir de se casser (un peu) la tête, 168 problémes trés amusants Edition Dunod 2008 268 pages

Ce blog est personnel, la rédaction n’est pas à l’origine de ses contenus.