L'équation du mois : l'équation de Lorenz et la théorie du chaos

L'équation que je vous propose aujourd'hui, vacance d'Aout oblige, concerne la météorologie. Il s'agit du "système d'équation de lorenz" du nom du météorologiste (et mathématicien) qui a réussi a formaliser la météorologie en le réduisant à un système de trois équations différentielles.
Peut etre faut il rappeler (ou découvrir) ce qu'est une équation différentielle : tous, nous connaissons les équations "classiques" qui établissent une relation entre une "variable" et une "fonction" (qui dépend de celle ci) Les équations "différentielles" établissent elles une relation entre une fonction et sa fonction "dérivée" qui exprime l'évolution de la variation de la fonction. Ces équations "différentielles" ont un sens physique profond, et permettent de résoudre une série de problémes qu'on ne pouvait jusque là pas traiter par l'outil mathématique .Cela a été une révolution pour la physique du XIX et du XX siècle.
Les difficultés pour solutionner ces équations sont de plusieurs ordres, mais un des plus embarrassant est la présence de termes constants dont la valeur dépend des conditions initiales du système à résoudre. Dans un premier temps la difficulté consiste souvent à trouver la valeur des variables dans les conditions initiales, mais Edward Norton Lorenz à montré que les équations différentielles permettant de prévoir l'état de la météorologie dans un avenir proche étaient extrémement sensible aux conditions initiales dans lequel se trouvait le systéme. Il nomme cet effet surprenant "l'effet papillon" dans un article célèbre « Le battement d'aile d'un papillon au Brésil peut-il déclencher une tornade au Texas ? ».
Or ce probléme n'est pas seulement présent dans les équations régissant la météorologie. On s'aperçoit qu'elles concernent également une question plus ancienne, qui concerne l'astronomie, le "probléme des trois corps" Il s'agit de calculer l'équation différentielle qui régit la trajectoire des planétes (et singuliérement de la terre) C'est le grand mathématicien Poincaré qui avait tenté de résoudre la question, et il s'était rendu compte de la difficulté intriséque de cette question , mais avait été bloqué par les capacités de calcul de l'époque qui ne permettait pas sa mise en évidence, au contraire de Lorenz qui utilisait un ordinateur En fait, on s'aperçoit qu'il s'agit d'un phénomène trés général qui s'applique aux systémes "non linéaires". Or dans le monde physique réel, il y a plus de systèmes "non linéaires" que de systèmes linéaires....
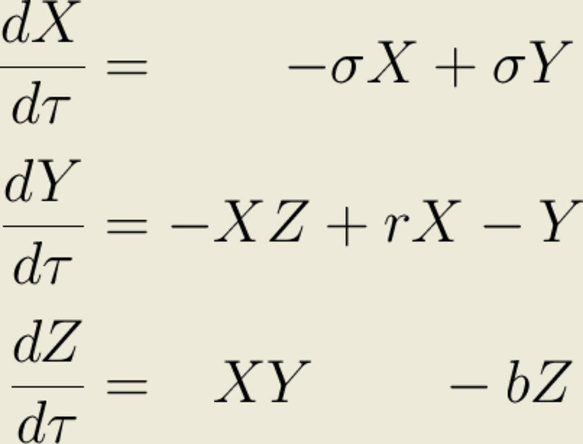
C'est pour cela qu'une nouvelle discipline va être développée afin de trouver des outils pertinents : la "théorie du chaos" qui étudie ces systèmes dynamiques trés sensibles aux conditions initiales : il s'agit de déterminer les conditions d'une instabilités (qui peut être conditionnelle) Un des outils les plus intéressants est la notion "d'attracteur" : un attracteur (ou ensemble-limite) est un ensemble ou un espace vers lequel un système évolue de façon irréversible en l'absence de perturbations. Constituants de base de la théorie du chaos, au moins cinq types sont définis : ponctuel, quasi-périodique, périodique, étrange et spatial.

Agrandissement : Illustration 2

L’attracteur de Lorenz est une structure fractale correspondant au comportement à long terme de l'oscillateur de Lorenz. L'attracteur montre comment les différentes variables du système dynamique évoluent dans le temps en une trajectoire non périodique.
ci dessous, vous pouvez visualiser un "attracteur étrange" en 3D, avec une structure plus complexe que celle de l'attracteur de Lorenz

Agrandissement : Illustration 3

La découverte scientifique du mois d'Aout : bientot du sang universel ?
Dans de nombreuses situation, la transfusion sanguine est une nécessité vitale. Or l’existence de nombreux groupes sanguins incompatibles peut mettre gravement en cause la disponibilité de sang pour celles et ceux qui en ont le plus besoin. Lors de catastrophes naturelles ou autres, identifier le groupe sanguin de la personne blessée peut s’avérer trop long en fonction de la blessure. Ou alors, il se peut que le sang compatible avec celui l’individu ne soit plus disponible par manque de stock. Depuis plusieurs années, les scientifiques cherchent donc a transformer les différentes groupes sanguins en "O+", le groupe sanguin universel.
La solution trouvée par les chercheurs passe par l'utilisation d'un "enzyme" permettant d'accélérer une réaction chimique à l'interieur d'une cellule. L'incompatibilité des différents groupes sanguins est en effet causé par la présence ou non de certains antigènes situé sur les globules rouges. En effet, l'équipe de recherche aprés avoir testé d'autres solutions "exogénes" (moustiques, sangsues) s'est aperçus que certains sucres que l’on trouvait dans l’intestin avaient une structure équivalente à celle des antigènes associés aux groupes sanguins. Ainsi, les chercheurs n’avaient plus qu’à identifier l’enzyme qui dégradait ce type de sucre. En découvrant cette dernière, ils ont aussi découvert la bactérie qui l’a produite. Ainsi, ils ont pu transformer un échantillon de sang du groupe A et B en un groupe O !
Toutefois, ils restent très prudents, car il reste encore de nombreux tests importants à effectuer : « Bien sûr, il faudra passer par de nombreux essais cliniques pour s’assurer qu’il n’y a pas de conséquences néfastes, mais cela semble très prometteur », indique Stephen Whithers.
Lien "Le Monde" : Du sang universel bientot disponible ?
Le scientifique du mois

Comme chaque année, la médaille Field qui récompense le travail d'un mathématicien est l'objet de supputations approfondie en France, ou le "prix Nobel pour mathématicien" jouit d'un prestige particulier dans la mesure ou la France y possède un palmarès tout a fait probant. En effet la France est le deuxième pays au classement du nombre de médailles (bien après les états unis quand même.
Cette année a été une relative déception dans la mesure ou la recherche française de mathématique, pour la première fois depuis très longtemps n'a pas été récompensée par une médaille attribuée un de ses chercheurs. Le CNRS a quand même tenu à féliciter un des récipiendaires de la médaille Field 2018 en la personne d'Alessio Figalli, un mathématicien italien profeseur à l'école polythecnique de Lausanne, mais qui a fait une bonne partie de sa carriére en France. Il est spécialisée dans le domaine de "l'analyse mathématique" qui s'occupe des variations de fonctions, avec des notions de limites et de continuité. Recruté comme chargé de recherche au CNRS fin 2007, avant même la soutenance de sa thèse, cet expert en analyse mathématique avait mené son doctorat en un temps record, à cheval entre la France et l’Italie, à l’École normale supérieure de Pise et à l’École normale supérieure de Lyon, sous la codirection de Luigi Ambrosio et de Cédric Villani1. Ce dernier, présent à Rio pour féliciter le lauréat, a accordé un entretiens dans le "journal du CNRS" que je reproduis ci dessous
Lorsque vous codirigiez sa thèse, aviez-vous déjà l’intuition d’avoir affaire à de la « graine de médaille Fields » ?
Cédric Villani : Alessio Figalli est un mathématicien hors normes, je l’ai vu immédiatement. Sa thèse n’a pas duré dix-huit mois2 : à peine la moitié du temps réglementaire. Ce n’est pas un hasard si, fait rarissime, le CNRS l’a recruté avant même sa soutenance, fin 2007. Dans la lettre de recommandation que j’avais rédigée en 2012, alors qu’il postulait à l’université de Princeton, je le considérais déjà comme l’un des plus impressionnants jeunes analystes avec lesquels j’avais interagi, doué d’une incroyable vitesse et d’une énorme puissance. Alessio Figalli était capable de trouver en un rien de temps une piste qui permettait de débloquer un problème. C’est un créatif, et sa capacité à digérer ses nombreuses lectures scientifiques lui fait mériter la qualification d’« éponge mathématique » que je lui avais donnée ! Lorsque j’ai moi-même reçu la médaille Fields en 2010, certains de mes collègues, impressionnés par sa puissance et sa rapidité, voyaient alors déjà en lui un favori pour l’ICM 2018.
Le calcul des variations, dont il est un expert, peut concerner la mécanique des fluides comme la finance, l’intelligence artificielle, la biologie…
C. V. : En effet. Le calcul des variations consiste à identifier un optimum parmi une famille de solutions possibles à un problème. Cela touche donc absolument tous les domaines, dès lors que l’on cherche une notion d’optimisation : la coque d’un navire (pour le meilleur hydrodynamisme naval), le prix d’actions en Bourse (pour obtenir la meilleure correspondance entre les offres et les demandes), le transport de marchandises ou d’usagers (en un minimum de temps, de kilomètres…), etc. Alessio Figalli s’est particulièrement illustré sur le problème du « transport optimal », dans lequel on cherche le meilleur appariement entre une configuration initiale et une configuration finale. Gaspard Monge avait posé le problème de la caractérisation géométrique de ce transport optimal ; mais les décennies, et surtout la période récente depuis 1985, ont mis au jour quantité de thématiques liées au transport optimal : régularité, inégalités fonctionnelles et géométriques, lien avec les équations de la physique mathématique, etc. Alessio Figalli a résolu certains problèmes majeurs dans le sujet. Plus récemment, il s’est mis à travailler sur la théorie des matrices aléatoires, un sujet issu de la mécanique quantique. En réalité, il a une facilité si considérable à élargir ses horizons, qu’il finit par s’attaquer à peu près à tous les sujets dans lesquels l’analyse intervient de façon forte !
Il a mené sa thèse à cheval entre la France et l’Italie, en 2007 il entrait au CNRS avant de devenir professeur à l’École polytechnique, puis à l’université du Texas à Austin (États-Unis), et enfin de rejoindre l’École polytechnique fédérale de Zurich, en Suisse. Ce type de profil international est-il aujourd’hui gage de succès en mathématiques ?
C. V. : En effet, ces profils internationaux sont de plus en plus courants en mathématiques et tous les spécialistes ont observé leur consécration à Séoul, lors de l’ICM 2014 : les quatre lauréats de la médaille Fields avaient une formation multiculturelle, à commencer par le Franco-Brésilien Artur Ávila. En ce qui concerne Alessio Figalli, il a été formé au gré de plusieurs influences parmi lesquelles l’école française figure en bonne place, même si cette notion devient justement de plus en plus difficile à cerner aujourd’hui compte tenu de l’inflation des échanges internationaux. Dans ce contexte, la France demeure un point d’attraction mondial en mathématiques. Le fait que le CNRS ait pu offrir à Alessio Figalli un poste alors qu’il n’avait que 23 ans, a sans doute eu un rôle capital dans sa carrière, et les postes de chargé de recherche au sein de l’organisme font à mon sens partie de l’arsenal compétitif de la France au niveau mondial. A contrario, on peut noter qu’Alessio Figalli a choisi de faire sa carrière senior en dehors de la France, dans un établissement (l’ETH) qui peut lui apporter des moyens bien plus importants ; c’est un exemple parmi beaucoup, tant il est vrai que nous avons des problèmes pour garder et attirer nos meilleurs talents.
Certains sujets d’étude d’Alessio Figalli ont déjà été abondamment traités par vous-même et par votre propre directeur de thèse, Pierre-Louis Lions, également lauréat de la médaille Fields en 1994. Peut-on parler d’« héritage » ?
C. V. : Oui, on peut dire que c’est la troisième médaille Fields de la « lignée ». Il y a un autre exemple de « lignée » de ce type, considérée comme « appartenant » à l’école française même si elle est en réalité multinationale : c’est celle de Schwartz-Grothendieck-Deligne3. J’y vois un symbole très fort d’une continuité de l’excellence dans ces thématiques. Alessio Figalli a d’ailleurs, avec Luigi Ambrosio, travaillé sur certaines théories de Pierre-Louis Lions et Ron Diperna. Comme je vous le disais, l’école française n’est pas seule dans la formation d’Alessio Figalli, mais elle a joué un rôle majeur. En particulier, l’écosystème lyonnais, avec Albert Fathi, Alice Guionnet et moi-même, lui a permis de se frotter à des influences variées et pluridisciplinaires, à l’interface entre maths pure et appliquée, sans barrières entre analyse, géométrie et probabilités.
Communiqué de félicitation du CNRS
Anciens instruments d'observation astronomiques
Nous avons maintenant des outils d'observation astronomiques qui permettent de percer largement au dela du monde visible, que ce soit des téléscope mais aussi d'autres instruments fouillant les mystéres de l'univers à des distances considérable. Il en a pas toujours été ainsi, et nous vous proposons un panorama des réalisations du génie humain qui montrent notre curiosité insatiable, et pas mal d'esprit pratique !
Stonehenge :

Stonehenge est un monument mégalithique composé d'un ensemble de structures circulaires concentriques, érigé entre -2800 et -11001, du Néolithique à l'âge du bronze. Il est situé en grande bretagne à treize kilomètres au nord de Salisbury, et à quatre kilomètres à l'ouest d'Amesbury (comté du Wiltshire, dans le sud de l'Angleterre). Des historiens de l'astronomie ont émis l’hypothèse que Stonehenge représentait un « ancien observatoire », mais le fait qu'il s'agisse d'un monument religieux est également avancé. L'un n’empêche d'ailleurs pas d'autre. Il est vrai que l’alignement des pierres ne laisse rien au hasard, et que l'alignement de certaines pierres sur celui des astres est depuis longtemps établi. En particulier, un certain nombre d'éléments montrent des alignements en rapport avec les déplacements de notre soleil. Cela correspond également a de nombreux cultes solaires de cette époque. Le mystére reste entier, et de nouvelles découvertes nous apporterons peut etre de nouvelles surprises et de nouvelles interprétations.
La roue médecine de Bighorn

Agrandissement : Illustration 6

La roue médecine, ou roue de médecine (en anglais : Medicine wheel) est, à l'origine, un cercle sacré aménagé par les Amérindiens à l'aide de pierres, et dont la représentation iconographique est devenue un symbole de la culture amérindienne qui a été assimilé dans le mysticisme New Age. Aussi appelée cercle de vie, la roue médecine est à la base de toutes les traditions autochtones des Amériques. Ce cercle peut être utilisé aussi bien dans les rituels des chamans que dans la vie courante des laïcs
La aussi l'utilisation de cet endroit pour des observations astronomiques est évoqué par de nombreux historiens familiers de cette problématique. Les alignements n'obéissent pas au hasard et montrent une connaissance fine des étoiles et de leurs déplacements en fonction du temps.
Spére Armiliaire

En astronomie, une sphère armillaire, dans son approche classique, est un instrument qui modélise la sphère céleste. Elle est utilisée pour montrer le mouvement apparent des étoiles, du Soleil et de l'écliptique autour de la Terre1.
Son nom provient du latin armilla (cercle, bracelet). En effet, elle est constituée d'un ensemble de cercles métalliques ou armilles représentant la géométrie des éléments descriptifs de la sphère céleste.
Il est évident que les premiéres spéres armiliaires n'avaient pas le soleil comme centre, mais la terre.... Le premier exemple connu de réalisation date du II siécle avant JC mais les réalisations de ces sphéres armiliaires se multiplient à la renaissance Les portraits de savants et personnalités à cette époque montrent souvent ceux-ci avec une main sur une sphère armillaire qui représente alors le sommet de la connaissance et de la sagesse
l'astrolabe

Agrandissement : Illustration 8

L'astrolabe est un ancien instrument astronomique d'observation et de calcul analogique. Instrument aux fonctions multiples, il permet notamment de mesurer la hauteur des étoiles dont le Soleil, et par là, de déterminer l'heure de l'observation.
A l'origine il a été inventé par les grecs, il est perfectionné par les musulmans qui feront de certaines de leurs réalisations de véritables chefs d'oeuvres d'ingéniosité, de mécanique et d'orfèvrerie.
Uraniborg

Uraniborg est indissociable du nom et de la personnalité atypique de Tycho Brahe : celui ci représente alors une rupture par rapport aux savants de son époque en ce qu'il donne la priorité sur l'observation à la lecture des "grands maitres anciens". Extrêmement riche, il va se construire un palais qui est en même temps un centre d'observation astronomique, un atelier de construction d'instruments en rapports avec les astres, une bibliothèque ou se rencontreront la fine fleur des savants de son époque Uraniborg est le nom donné au palais et à l'observatoire de l'astronome danois situés sur l'île de Ven, dans le détroit du Sund (cette île aujourd'hui suédoise appartenait à l'époque au Danemark). Le palais était dédié à Uranie, la Muse de l'astronomie, Ur. Le palais (et l'observatoire ont malheureusement été démantelés, mais on peut encore en visiter les fondations et le petit musée attenant.
la lunette de Gallilée

Ce n'est pas Gallilée qui a inventé la lunette astronomique, mais c'est lui qui en a fait un "instrument scientifique" reconnu par l'ensemble de la communauté des savants
il existe seulement deux lunettes astronomiques construites par Gallilée et conservée au musée Galilée de Florence
Galilée conçut aussi des accessoires pour l'emploi du télescope : un micromètre, essentiel afin de mesurer la distance entre Jupiter et ses satellites, et un hélioscope, qui permettait d'observer les taches solaires sans subir de dommages aux yeux.
La première lunette de Galilée est composé d'un tube principal et de deux sections mineures, dans lesquelles sont placés l'objectif et l'oculaire. . Cet instrument peut agrandir les objets 14 fois
La deuxième lunette de Galilée est composé d'un tube principal, à l'extrémité duquel sont insérées deux sections distinctes, portant l'objectif et l'oculaire. Le tube, formé de lamelles de bois jointes, est revêtu de cuir rouge (devenu marron au cours du temps) ornée de frises en or. L'instrument peut agrandir les objets 21 fois et possède un champ visuel de 15'. Ce télescope est enregistré dans l'inventaire de 1704 de la Galerie des Offices
Le livre scientifique du mois : les arpenteurs du monde

Les arpenteur du monde est un formidable roman qui met en scène la rencontre improbable mais cependant attestée du grand explorateur Alexander Von Humblot et du "prince des mathématiques" Carl Gauss, deux scientifiques aux disciplines et aux carractéres diamétralement opposées
Carl Gauss était surnommé "le prince des mathématicien". Sa phobie des voyages et des déplacements était bien connue Ses découvertes sont innombrables et couvrent l'ensemble du domaine mathématique.
En septembre 1828, le plus grand mathématicien du pays quitta, pour la première fois depuis des années, la ville où il résidait, afin de participer au Congrès allemand des naturalistes à Berlin. Bien évidemment, il ne voulait pas y aller. Il s'y était refusé des mois durant, mais Alexander von Humboldt était resté inflexible jusqu'à ce que, dans un moment de faiblesse et dans l'espoir que ce jour ne vînt jamais, il eût accepté.
Pour l'heure, donc, le professeur Gauss se cachait dans son lit. Quand Minna l'invita à se lever en lui disant que la voiture à cheval l'attendait et que la route était longue, il se cramponna à son oreiller et tenta de faire disparaître sa femme en fermant les yeux. Lorsqu'il les rouvrit pour constater que Minna était toujours là, il lui dit qu'elle l'importunait, qu'elle était bornée, et faisait le malheur de ses vieux jours. Comme cela non plus ne servit à rien, il rejeta sa couverture et posa les pieds sur le sol.
Alexander von humblot, le grand explorateur, n'était pas moins étrange. Autant carl Gauss est casanier, autant lui est un aventurier obsédé par la mesure (il mesure tout : les dimension d'un insecte, la taille d'un volcan,) Il est surtout connu pour son exploration d’Amérique Latine avec un médecin, botaniste et naturaliste rochelais; Aimé Bompland. Allemand jusqu'au bout des ongles, ses échanges avec son compère tout aussi Français que lui est teuton, est un régal
L'homme n'est pas un animal, dit Humboldt.
Parfois si, répliqua Bonpland.
Les deux vies des deux scientifiques sont explorées, des grandes découvertes aux manies, aux petites habitudes. Tous deux sont obsédées par la science et le livre au dela des anecdotes et des passages plein de fantaisie qui en font tout le charme est aussi une réflexion sur ce qu'est la science
Humbolt l'assura en hâte qu'il lui avait simplement dit de ne pas surestimer les résultats d'un scientifique, un savant n'était pas un créateur, il n'inventait rien, ne conquérait aucun pays, ne cultivait pas de fruits, ne semait rien et ne récoltait rien non plus, et d'autres lui succéderaient qui en sauraient plus que lui, puis d'autres encore qui en sauraient davantage encore, jusqu'à ce que tout sombre à nouveau.
Pour conclure, une scéne d'amour torride, comme je n'en ai rarement lu dans un ouvrage scientifique :
Dans la chambre à coucher, il tira les rideaux, s'avança vers elle (...) et commença à défaire les lacets de sa robe. Sans lumière, ce n'était pas facile. Cela dura longtemps, le tissu était récalcitrant, les lacets très nombreux et il ne comprenait pas qu'il n'ait pas encore réussi à les dénouer. Mais il avait fini par y arriver, la robe glissa (...) Il se demanda comment il allait procéder avec son jupon. Pourquoi les femmes ne portaient-elles pas des vêtements qu'on arrivait à défaire? (...) Tandis qu'il laissa errer sa main sur sa poitrine jusqu'à son ventre puis - il décida de tenter la chose, même s'il avait l'impression de devoir s'en excuser - plus bas encore, le disque lunaire, blême et embué, apparut entre les rideaux, et il eut honte de comprendre à ce moment précis comment on pouvait corriger de façon approximative les erreurs de mesure de la trajectoire des planètes. (...) Elle enroula ses jambes autour de son corps mais il s'excusa, se leva, avança en trébuchant jusqu'à la table, trempa sa plume dans l'encrier et écrivit, sans allumer la lumière: somme d. carrés de la diff. entre les observ. et les calcs.→min., c'était trop important, il n'avait pas le droit de l'oublier Dans la chambre à coucher, il tira les rideaux, s'avança vers elle (...) et commença à défaire les lacets de sa robe. Sans lumière, ce n'était pas facile. Cela dura longtemps, le tissu était récalcitrant, les lacets très nombreux et il ne comprenait pas qu'il n'ait pas encore réussi à les dénouer. Mais il avait fini par y arriver, la robe glissa (...) Il se demanda comment il allait procéder avec son jupon. Pourquoi les femmes ne portaient-elles pas des vêtements qu'on arrivait à défaire? (...) Tandis qu'il laissa errer sa main sur sa poitrine jusqu'à son ventre puis - il décida de tenter la chose, même s'il avait l'impression de devoir s'en excuser - plus bas encore, le disque lunaire, blême et embué, apparut entre les rideaux, et il eut honte de comprendre à ce moment précis comment on pouvait corriger de façon approximative les erreurs de mesure de la trajectoire des planètes. (...) Elle enroula ses jambes autour de son corps mais il s'excusa, se leva, avança en trébuchant jusqu'à la table, trempa sa plume dans l'encrier et écrivit, sans allumer la lumière: somme d. carrés de la diff. entre les observ. et les calcs.→min., c'était trop important, il n'avait pas le droit de l'oublier
Daniel Kelhmann Les Arpenteurs du Monde Acte Sud 2009 298 pages
Les énigmes
Enigme facile
La bonne paye
vous etes embauchés a un salaire de 10000 € par an
votre patron vous propose deux façons de vous augmenter :
formule A : une augmentation de 500 € tous les six mois
formule B : une augmentation de 2000 € tous les ans
Quelle formule choisissez vous (en justifiant votre choix, bien entendu)
Énigme moins facile
quarante maris infidèles
Dans une petite ville ou "tout se sait" (ce genre de ville à la Simenon) 40 maris trompent leurs épouses. chaque épouses est consciente de la situation globale (elle sait que les 39 autres épouses sont trahies par leur maris) mais s'illusionnent sur leurs sorts (elle pensent le leur fidèle)
Une loi passe qui stipule "Une épouse qui sait que son mari est infidèle devra le dénoncer à la mairie dés demain" et le maire ajoute : " je sais qu'un au moins des époux est infidèle"
Que se passe t il ?
Enigme encore un peu plus dure
le testament de Caliban
(note liminaire : Low YY et Critic étaient trois collègues du scientifique problémiste Max Newmann qui conçu cette énigme et qui fut ensuite à l'origine du "bureau de recherche" en cryptologie dirigée par Alan Tuning et à la construction d'un des premiers ordinateur électrique "Colossus" Pour plus de précision sur Max Newman, sa page Wikipedia)
Quand on ouvrit le testament de Caliban, on y lut les clauses suivantes :
Je légue à Low, "YY" et Critic dix livres de ma bibliothèque à chacun qu'ils choisirons à tour de rôle en respectant l'ordre suivant :
une personne qui m'a vu porter une cravate verte ne peut choisir avant Low
si "YY" n'était pas à Oxford en 1920 le premier à choisir ne m'a jamais prêtè de parapluie
si yy ou critic est deuxième à choisir, Critic vient avant celui qui est tombé amoureux le premier
Hélas, aucun des protagonistes ne se souvenait des faits évoqués. Mais le notaire chargé de la succession a précisé qu'en supposant le problème bien construit, c'est a dire sans indications superflues, ils devraient trouver la solution
Alors dans quel ordre les trois protagonistes doivent ils choisir les ouvrages ?
Pour vous aider (?) l'image de Colossus, le premier ordinateur mis au point par Max Newman et Alan Turing

Agrandissement : Illustration 12
