Joseph Gleeson explique que dans des maladies génétiques du développement neurologiques très rares, les scientifiques ne peuvent trouver des groupes placebo, et qu'ils mettent au point en conséquence des essais à patient unique.
Justin West, père d'un enfant affecté d'une forme rare et très sévère d'épilepsie, pense qu'il est important de continuer à développer des thérapies ASO pour l'épilepsie liée à KCNT1 et d'autres formes rares d'épilepsie, malgré les risques.
Les communautés de chercheurs et de défenseurs de l'autisme ont exprimé leurs inquiétudes quant aux pratiques actuelles de la recherche génétique, exhortant le domaine à s'orienter vers des paradigmes et des pratiques qui garantissent des avantages et évitent des préjudices aux participants à la recherche et à la communauté autiste dans son ensemble.
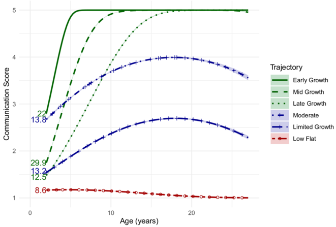
Hétérogénéité dans le développement : les trajectoires des aptitudes à la communication et celles du développement social varient dans 6 ou 7 groupes respectivement. Les enfants nés de mères hispaniques, noires, asiatiques ou nées à l'étranger présentent une croissance réduite de la parole et des aptitudes sociales par rapport aux enfants nés de mères blanches.
Quels sont les meilleurs moyens de perfectionnement professionnel pour aider les enseignants à pratiquer des méthodes recommandées pour le soutien de leurs élèves autistes ?